本件は、特許庁に特許無効審判を請求したところ無効不成立審決を受けた原告が、特許権者を被告として審決取消訴訟を提起した事案である。争点は、サポート要件と進歩性の要件であるが、ここでは、進歩性の要件について紹介する。
1.本件発明と引用発明について
本件発明は、発明の名称を「安定な経口用のCI-981製剤およびその製法」とする特許であり、無効審判の請求がされた請求項のうち、請求項1(訂正後)に記載された発明(以下、本件発明1)は以下のとおりである。
【請求項1】
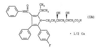
混合物中に、活性成分として、〔R-(R*,R*)〕-2-(4-フルオロフェニル)-β,δ-ジヒドロキシ-5-(1-メチルエチル)-3-フェニル-4-〔(フェニルアミノ)カルボニル)-1H-ピロール-1-ヘプタン酸半-カルシウム塩および、少なくとも1種の医薬的に許容し得る塩基性の安定化金属塩添加剤を含有する改善された安定性によって特徴づけられる高コレステロール血症または高脂質血症の経口治療用の医薬組成物。(以下、請求項1に記載された「・・・半カルシウム塩」を「CI-981半カルシウム塩」と称する。)

【CI-981半カルシウム塩】
無効審判では、原告は、甲1号証と甲2号証を提示し、本件発明は、これらに記載された発明に基づいて当業者が容易に発明をすることができたものである旨主張したが、審決では本件発明の進歩性は否定できないとした。
本件発明では、「高脂質血症の経口治療用の医薬組成物」における活性成分である「HMG-CoAレダクターゼ抑制剤」として、「CI-981半カルシウム塩」を用いているが、甲1号証には、「高脂質血症の経口治療用の医薬組成物」における「HMG-CoAレダクターゼ抑制剤」として、「プラバスタチン」を用いることが記載されている。したがって、本件発明1と甲1号証は、本件発明1では「CI-981半カルシウム塩」であるのに対して、甲1号証では「プラバスタチン」である点で相違している。これに対して、甲2号証には、HMG-CoAレダクターゼを抑制する薬剤として、「CI-981」が開示され、これをラクトン体として用いることが記載されているが、「CI-981半カルシウム塩」が最も好ましい態様として記載されていた。
2.裁判所の判断
審決では、本件発明の進歩性を認めているが、その判断の前提は、「CI-981半カルシウム塩がラクトン体に比べて有利な化合物であり、そのことは本件発明において見出された。」という点であり、本件明細書には、そのことを示す簡単な記載があった。
これに対して、判決では、審決の前提を否定した。すなわち、判決では、本件明細書において、「CI-981半カルシウム塩」(開環型)とラクトン体(環状型)とを比較して、開環型の方が何らかの有利な効果を有するものであることを具体的に明らかにしているわけではなく、逆に「実際に、塩形態の使用は、酸またはラクトン形態の使用に等しい。」との記載もあるとして、審決における前提を否定した。そして、判決文の中で、審決における前提は、「硬直に過ぎる」と批判した。
なお、被告は、「CI-981半カルシウム塩」が開環型であることから、ラクトン体に比べて有利な化合物である点について、安定性等の観点から主張しているが、本件明細書に裏付けられたものではなく、理由がないとしている。
3.所感
引用文献中に、ある知見について簡単な記載があっても、それが引用文献中で裏付けられたものでなければ、特許性(新規性、進歩性)を否定する証拠として採用されないことがある。典型例としては、一つの引用文献に複数の化合物が単に並列的に記載されているに過ぎず、個々の化合物について具体的に記載されていない場合には、単に並列的に記載された化合物は、特許性を否定する証拠として不十分であるとする考え方がある。
しかし、この考え方は、その知見が本件明細書において十分に裏付けられていることが前提となることが、この判例から示唆される。すなわち、引用文献中に裏付けがないだけでなく、その知見について、本件明細書中には裏付けがあることで、本件発明の進歩性が認められることになる。今後の実務においては、本件発明において新たな知見を見出した場合には、当初明細書において、そのことを裏付ける十分な技術的事項を記載しておくことが進歩性の主張において有効であると考えられる。