IP High Court Case (Grand Panel) Summary: 2016 (Gyo-ke) 10182, 10184:
GRAND PANEL OF THE IP HIGH COURT DETERMINED HOW TO DERIVE A CITED INVENTION FROM A GENERAL CHEMICAL FORMULA INCLUDING A HUGE NUMBER OF COMPOUNDS.
On April 13, 2018, the grand panel of the Intellectual Property High Court determined how to derive a cited invention from a general formula including a huge number of compounds, and affirmed the JPO board of appeal’s decision on the trial for patent invalidation (2015-800095).
BACKGROUND
The defendant applied for the patent (the title of the invention: Pyrimidine Derivatives) on May 28, 1992, and the patent was issued on May 16, 1997 (JP PAT NO. 2648897).
The plaintiff requested a trial for invalidation of this patent on March 31, 2015, and the JPO board of appeal decided to maintain this patent on July 5, 2016. Then, the plaintiff appealed to the IP High Court.
Several issues were discussed in this court case, but only the inventive step is explained here. The inventive step was discussed on claims 1, 2, 5, 9-12 in this court case, but only claim 1 is focused here.
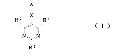
CLAIMED INVENTION
Claim 1 at issue is a compound of formula I:
[Formula I]

wherein
R1 is lower alkyl;
R2 is phenyl which is substituted by halogen;
R3 is lower alkyl;
R4 is hydrogen or calcium ion which forms hemi-calcium salt;
X is imino group which is substituted by alkylsulfonyl group;
the dotted line means the presence or absence of a double bond,
or a corresponding ring-closed lactone.
CITED INVENTION
Cited invention-1 (cited document-1) is a compound below.

wherein
M=Na
IDENTICAL FEATURES (CLAIMED INVENTION AND CITED INVENTION)
A compound of formula I:
[Formula I]

wherein
R1 is lower alkyl;
R2 is phenyl which is substituted by halogen;
R3 is lower alkyl;
the dotted line represents the presence or absence of a double bond
or a corresponding ring-closed lactone.
DIFFERENCE (CLAIMED INVENTION AND CITED INVENTION)
– In claim 1, X is imino group which is substituted by alkylsulfonyl group while in cited invention 1, X is methyl group.
– In claim 1, R4 is hydrogen or calcium ion which forms hemi-calcium salt, while in cited invention-1, R4 is sodium ion which forms sodium salt.
INSISTENCE OF PLAINTIFF
The plaintiff insisted that it is easy to combine cited invention-1 with cited invention-2, and substitute “methyl group” (cited invention-1) in dimethyl amino group of pyrimidine ring to “alkylsulphonyl group” (cited invention-2). Then, it is easy to reach the claimed invention.
Cited document-2describes a compound below (cited invention-2).

Among many options, formula (I) include a compound wherein R1 is alkyl; R2 is aryl; R3 is NR4R5; R4, R5 is alkyl, alkylsulphonyl; X is CH=CH-; A is formula below.

R6 is H; R7 is cation.
Moreover, R1 is isopropyl; R2 is phenyl (mono-substitution with fluorine); R3 is NR4R5 wherein R4, R5 is methyl, methylsulphonyl; R7 is calcium cation as a particularly preferable compound.
DECISION OF IP HIGH COURT
(1) How to derive the cited invention
When a compound is described in a publication in the form of a general formula, and the general formula includes a huge number of compounds, a concrete technical idea concerning a particular compound cannot be derived without a reason that the art should select positively or preferentially the particular compound.
(2) Application to this court case
The compound with alkylsulfonyl group in the specific part is described in cited document-2, but alkylsulfonyl group is described as one of 20 million or more compounds in this document.
Therefore, it is difficult for those skilled in the art to find a reason that the art should select the technical idea concerning this particular compound. Then, it is not easy to combine cited invention-1 with cited invention-2, and reach the claimed invention.
COMMENTS
According to this judgement, IP High Court determined how to derive the cited invention related to a compound described in the form of a general formula including a huge number of compounds. IP High Court also determined that this compound cannot be the cited invention if there is no reason to select this particular compound positively or preferentially.
This decision is not different from the former precedent (see IP High Court Case 2008 (Gyo-ke) 10096), and it is important to consider how to derive the cited invention carefully. Particularly, “reasons that the art should select the concrete technical idea concerning the particular compound positively or preferentially” must be argued.
The accumulation of the precedents is necessary to foresee how to derive the cited invention more precisely. The future court cases should be carefully checked.